[비즈한국] 최근 BODA 유튜브에 흥미로운 영상이 올라갔다. 오랫동안 존경해온 대한민국 천문학자 이영욱 교수를 직접 인터뷰한 영상이다. 이영욱 교수 연구팀은 최근 기존 우주론 모델을 벗어난 흥미로운 모델을 제시했다. 우주의 팽창이 가속되기는커녕 오히려 이미 팽창 속도가 점차 줄어드는 감속 팽창 시기에 접어들었다는 주장이다. 게다가 다양한 독립 관측 결과가 모두 동일하게 감속 팽창 우주 모델을 가리킨다! 과연 앞으로 우리 우주의 운명은 어떻게 될까?
우주는 팽창하고 있다. 138억 년 전 우주가 시작된 이래로 꾸준히. 이건 모든 천문학자들이 동의한다. 하지만 세부사항으로 가면 의견이 갈라진다. 팽창이 꾸준히 같은 속도로 이어진다는 의견, 점점 빨라진다는 의견, 느려진다는 의견 등 셋으로 나뉜다.
오늘날 우주의 운명을 이야기하기 위해서 가장 중요한 타깃은 초신성이다. 초신성은 별 하나가 폭발하는 것이지만 별 수천억, 수조 개가 모여 있는 은하 전체에 맞먹을 정도로 아주 밝게 터진다. 멀리 떨어져 있어도 충분히 볼 수 있기에 먼 우주를 보여주는 좋은 등대가 된다.
게다가 전통적으로 Type Ia 초신성은 가장 밝아지는 순간의 최대 밝기가 거의 일정하다고 생각해왔다. Type Ia 초신성은 스펙트럼에서 뚜렷한 수소를 보이지 않는 종류의 초신성을 말하는데, 수소가 거의 사라진 백색왜성이 터지기 때문이다. 백색왜성은 찬드라세카 한계라고 알려진 특정 한계 질량 이상으로 무거워지면 폭발한다고 알려져 있다. 그 한계 질량이 항상 일정할 거라 생각했고, 따라서 Type Ia 초신성은 우주의 역사를 통틀어 언제 어디서나 같은 밝기로 터지는 표준 기준이 될 수 있다고 생각해왔다. 먼 우주에서 초신성이 터진다면 그 최대 밝기가 실제로 얼마나 밝아야 할지 알고 있으니, 그걸 간단하게 활용하면 그 초신성이 폭발한 은하까지의 거리를 잴 수 있다는 거다.
하지만 실상은 그리 간단하지 않다. Type Ia 초신성이 폭발하는 메커니즘은 아주 다양하다. 대표적으로 백색왜성이 옆에 다른 동반성으로부터 물질을 빼앗아 먹거나, 또는 백색왜성 둘이 서로 충돌할 때 Type Ia 초신성이 터진다. 백색왜성이 평범한 거성과 짝을 이루고 있다가 물질을 흡수하면서 터지는 경우를 Single Degeneracy(SD) 초신성, 백색왜성 두 개가 서로 충돌하면서 터지는 경우를 Double Degeneracy(DD) 초신성이라고 한다.
또 백색왜성 안에 니켈과 같은 금속 함량이 얼마나 많았는지에 따라서 폭발 순간 최대 밝기가 크게 달라질 수 있다. 전자가 많은 금속 원소는 빛을 많이 흡수해 천체 밝기를 더 어둡게 만드는 일종의 불투명도를 높이는 요소로 작용하기 때문이다.
이처럼 Type Ia 초신성의 기원과 상황이 매우 다양하다 보니, 단순히 최대 밝기가 항상 일정할 거라 가정하고 표준 촛불로 삼는 것은 상당히 투박한 가정이라고 볼 수 있다. 특히 우주가 나이를 먹고 진화함에 따라 우주 전역의 은하, 별의 화학 조성, 금속 함량이 변했기 때문에 초신성의 밝기 역시 은하, 별의 나이에 따라 달라질 여지가 있다.
이미 1980년대부터 소수의 천문학자들은 Type Ia 초신성을 표준 촛불로 삼기 위해서는 이러한 나이에 따른 편향을 세심하게 고려할 필요가 있다는 주장을 제기했다. 대표적으로 베아트리스 틴슬리가 있다. 먼 거리의 은하는 빅뱅 직후 초기 우주를 대변한다. 가까운 은하로 올수록 나중에 태어난 나이 많은 은하가 섞여 있다. 초기의 젊은 은하에서는 Type Ia 초신성 보다는 수명이 짧은 무거운 별 스스로 붕괴하면서 폭발하는 Type II 방식의 초신성이 더 많았다. 또 얼마나 많은 Type Ia 초신성이 터질 수 있었는지는 모은하 속 별들의 연령 분포, 또 별이 나이를 먹고 초신성이 되기까지 걸리는 지연 시간을 고려한 은하의 나이에 따라 달라진다.
이러한 초신성 밝기의 나이 편향은 상대적으로 더 어린 (먼) 은하에서 터진 초신성을 더 어둡게 보이게 만든다. 그런데 만약 이것을 올바르게 보정하지 않으면, 단순히 먼 은하가 예상보다 더 먼 거리에 있기 때문에 초신성이 더 어둡게 보인다고 판단하게 된다. 그리고 이것은 우주 팽창이 점점 빨라지면서 은하까지 거리가 예상보다 더 멀어지고 있다는 결론으로 이어진다.
실제로 1998년 아담 리스, 브라이언 슈미트, 솔 펄머터의 연구팀은 이런 방식으로 우주 팽창이 점차 더 빨라지는 가속 팽창을 하고 있다는 결론에 도달했다. 그리고 중력의 반대 방향으로 우주를 더 빠르게 팽창시키고 있다는 미지의 에너지, 암흑 에너지가 천문학의 가장 핫한 난제로 새롭게 떠오르기 시작했다. 그리고 아직까지 암흑 에너지의 정체는 전혀 밝혀지지 않았다. 정체는커녕 마땅한 후보도 없다.
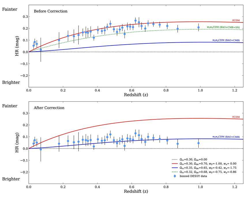
5년 전 이영욱 교수 연구팀은 틴슬리가 고민한 나이에 따른 초신성의 광도 진화 효과를 실제 관측 데이터를 바탕으로 입증했다. 실제 은하들의 나이에 따라 초신성의 밝기가 어떻게 달라지는지를 확인한 결과 나이가 어린 은하로 갈수록 초신성이 실제로 더 어둡게 보여야 한다는 결과가 나온 것이다! 그리고 나이에 따른 광도 진화 효과를 추가로 보정해 다시 우주 팽창의 속도 변화를 확인한 결과, 기존에 알려진 것과 달리 가속 팽창 효과가 깔끔하게 사라지는 결과를 보였다.
당시까지만 해도 이 주장은 학계에서 크게 받아들여지지 못했다. 가장 큰 이유는 여전히 다른 관측적 증거들이 가속 팽창을 지지하는 모양새였기 때문이다. 하지만 이제 상황이 달라졌다. 이번 추가 논문은 오히려 지난 몇 년 사이 나온 또 다른 독립된 관측 결과들이 우주가 가속이 아닌 감속 팽창을 하고 있다는 모델을 더 지지하는 결과를 보여주기 때문이다.
이번 추가 연구에서 이영욱 교수 연구팀이 적극적으로 활용한 데이터는 바로 DESI 데이터다. 이름부터 암흑 에너지의 정체를 찾겠다는 포부가 담겨 있는 프로젝트다. 이 관측 프로젝트는 초신성이 아닌 다른 잣대로 우주의 거리를 잰다. 바로 바리온 음향 진동이다.
태초의 우주는 플라즈마 상태였다. 태초에 밀도가 살짝 높은 지점을 중심으로 마치 음파가 퍼지듯 플라즈마를 타고 파동이 퍼졌다. 그러던 중에 우주가 팽창하면서 우주가 충분히 식었을 때, 플라즈마는 그대로 얼어붙었다. 그 순간 사방으로 퍼지던 초기 우주의 음파도 그대로 얼어붙었다. 얼어붙은 파도는 밀도가 더 높은 구간이 됐다. 그곳을 중심으로 은하가 만들어졌다. 그래서 현재 우주 거대 구조를 보면 은하가 마냥 무작위로 분포하지 않는다. 딱 이때 만들어진 초기 우주의 음파, 그 진동의 스케일만큼 은하들이 서로 멀리 간격을 두고 있다. 이것을 초기 우주의 플라즈마가 얼어붙고 우주 거대 구조에 그대로 각인된 태초의 진동의 흔적, 바리온 음향 진동이라고 한다.
온 음향 진동은 우주의 나이에 상관없이 항상 같은 스케일을 유지해야 한다. 그래서 Type Ia 초신성이 밝기가 일정할 거라 기대했던 표준 촛불이라면, 바리온 음향 진동은 그 크기, 스케일이 일정한 표준 잣대라고 볼 수 있다.
작년 DESI 팀은 바리온 음향 진동을 분석한 끝에 흥미로운 가능성을 보여주었다. 암흑 에너지가 상수가 아니라 시간에 따라 변하는 값이라는 거다. 오랫동안 암흑 에너지는 아인슈타인이 이야기한 우주 상수로 여겨졌다. 우주가 팽창하면서 부피가 커지는데도 암흑 에너지 밀도는 항상 일정해야 했다. 마치 우주의 총 암흑 에너지가 계속 추가되는 것처럼 보인다. 그래서 어디에서 튀어나온 건지 알 수 없는 새로운 에너지란 뜻에서 일명 유령 에너지라고 부르기도 했다. 하지만 작년 DESI 팀의 결과는 시간이 흐르면서 암흑 에너지가 줄어들고 있다는 새로운 가능성을 보여주었다.
다만 그 결과에서 우주가 감속 팽창까진 하지 않았다. 초기에 비해 암흑 에너지의 세기가 점점 약해지고 있다는 정도였다. 자동차로 비유하면 여전히 가속 페달에 발을 올리고 있지만, 페달을 누르는 정도가 조금 약해졌다는 이야기다.
그런데 이영욱 교수 연구팀의 새로운 결과는 그것을 뛰어넘는다. 나이에 따른 초신성의 광도 진화를 정밀하게 적용한 결과, 현재 우주는 단순히 가속 페달을 누르는 정도를 줄인 게 아니라, 아예 브레이크를 밟고 있는 상황으로 보인다. 우주가 이미 감속 팽창에 접어들었다는 것이다! 더 재밌는 건, DESI 팀도 사실 똑같은 결과를 찾았었다는 거다.
단지 그들은 작년 결과에서 순수하게 바리온 음향 진동 분석 결과만으로 결과를 내지 않았다. 대신 기존의 (나이에 따른 광도 진화를 고려하지 않은) 초신성 데이터를 함께 섞어서 최종 결과를 얻었다. 만약 DESI 팀이 처음부터 순수하게 바리온 음향 진동의 결과만 사용했다면, 오히려 감속 팽창이라는 결과를 얻었을 것이다. 하지만 광도 진화 효과를 고려하지 않은 기존의 초신성 결과를 함께 섞어 전체 평균을 내버린 바람에, 감속 팽창까진 아니고 단지 암흑 에너지가 좀 줄어드는 것 같다는 수준의 결과를 얻었던 것이다.
이영욱 교수 연구팀은 기존 초신성 데이터를 배제하고 순수하게 DESI 팀의 바리온 음향 진동 분석 결과와 직접 비교했다. 그 결과는 놀라웠다. 나이에 따른 초신성의 광도 진화 효과를 고려한 새로운 결과가 순수한 바리온 음향 진동만의 결과와 완벽하게 일치했기 때문이다. 우주 배경 복사도 똑같은 모델을 가리킨다. 이렇게 독립된 세 가지 우주론적 관측 방식이 모두 동일한 모델을 가리킨다는 건 놀라운 결과다.
이 결과는 단순히 암흑 에너지가 아예 없다는 뜻이 아니다. 우주가 팽창하더라도 항상 같은 밀도로 유지되는 단순한 상수일 거라 생각했던 암흑 에너지가, 실은 시간에 따라 굉장히 다양하게 변하는 이상한 녀석이라는 걸 의미한다. 마치 물이 고체, 액체, 기체를 거쳐 상태(phase) 자체가 변하는 것처럼 암흑 에너지의 상태 방정식 자체가 변해야 한다. 빅뱅 직후 태초에는 유령 에너지처럼 행동하던 것이, 한때 우주 상수처럼 행동하다가, 이젠 또 다시 점차 줄어드는 이상한 방식으로 행동한다. 이영욱 교수 연구팀의 결과를 올바르게 표현하려면 흔히 잘못 알려져 있듯이 “암흑 에너지가 없다”가 아니라 “우주 상수는 없다. 암흑 에너지는 시간에 따라 변하는 변화무쌍한 존재다”라고 이야기해야 할 것이다.
BODA 인터뷰에서 이영욱 교수는, 이것이 정확히 어떤 결말로 이어질지는 아직 알 수 없다고 말했다. 다만 암흑 에너지가 기존에 생각한 단순한 우주 상수 같은 게 아니며, 무언가 전혀 다른 개념이라는 걸 가리킨다고 말했다. 그리고 이번 발견이 앞으로 전혀 다른 방식의 우주 모델로 나아가는 중요한 발판이 될 거라 이야기했다.
우주는 진화한다. 그리고 우주를 바라보는 인류의 우주관도 함께 진화한다. 오랫동안 아무 일 없이 항상 똑같은 모습으로 유지될 거라 생각했던 우주는 어느 순간 빠르게 팽창하는 세계가 되었고, 또 갑자기 그 팽창이 점점 더 빨라지는 세계가 되었다. 이젠 그 팽창이 점차 더뎌지고 있을지 모른다는 또 다른 가능성이 열리고 있다. 우주론은 아직 완결되지 않았다. 그리고 앞으로도 완결되지 않을 것이다. 우리는 진리에 완벽하게 도달할 수 없다는 걸 알면서도, 다만 쉬지 않고 그 진리에 조금씩조금씩 더 가까이 다가가고 있을 뿐이다.
과연 암흑 에너지, 우주의 가속팽창을 이야기하는 지금의 우주론은 어떤 운명을 맞게 될까? 암흑 에너지가 시간에 따라 변하고 있다면 그 이유는 무엇일까? 앞으로 우주의 운명은 어떻게 될까? 시시각각 변화하는 암흑 에너지만큼이나 우주 자체의 운명도 앞길을 알기 어려워 보인다.
참고
https://iopscience.iop.org/article/10.3847/1538-4357/ab5afc
https://academic.oup.com/mnras/article/544/1/975/8281988
필자 지웅배는? 고양이와 우주를 사랑한다. 어린 시절 ‘은하철도 999’를 보고 우주의 아름다움을 알리겠다는 꿈을 갖게 되었다. 현재 세종대학교 자유전공학부 조교수로 강연과 집필 등 다양한 과학 커뮤니케이션 활동을 함께 하고 있다. ‘날마다 우주 한 조각’, ‘별이 빛나는 우주의 과학자들’, ‘갈 수 없지만 알 수 있는’, ‘우주를 보면 떠오르는 이상한 질문들’ 등의 책을 썼으며, ‘진짜 우주를 여행하는 히치하이커를 위한 안내서’, ‘나는 어쩌다 명왕성을 죽였나’, ‘퀀텀 라이프’, ‘코스미그래픽’ 등을 번역했다.
지웅배 과학칼럼니스트
writer@bizhankook.com[핫클릭]
·
[사이언스] '이상한 성간천체' 아틀라스에 쏟아진 인류의 환대
·
[사이언스] 영화 '아바타' 실존? 현실의 '판도라'를 찾아라
·
[사이언스] 우주 나이 9000만 년 '최초의 은하'를 발견했다?!
·
[이주의 책] '우주먼지'의 알쓸신천 '우리는 모두 천문학자로 태어난다'
·
[사이언스] '눈을 감아야 보인다' 암흑 물질을 찾는 방법





















